Einstufung und Kennzeichnung von Gefahrstoffen in der Europäischen Union
Zusammenfassung
Die CLP-Verordnung schreibt innerhalb der Mitgliedsstaaten der Europäischen Union verbindlich vor, wie Gefahrstoffe, Gefahrstoffgemische und Erzeugnisse mit Gefahrstoff einzustufen und zu kennzeichnen sind.
In Anhang I der CLP-Verordnung werden die Gefahrenklassen in drei Bereiche unterteilt - die physikalischen Gefahren, die Gesundheitsgefahren und die Umweltgefahren. Die Einstufung der chemischen Produkte erfolgt anhand der dort benannten Kriterien (Stand Juli 2025).
1. Das Globally Harmonised System (GHS)
GHS ist die Abkürzung für Globally Harmonised System of Classification and Labelling of Chemicals, also für ein weltweit vereinheitlichtes System zur Klassifizierung und Einstufung von Chemikalien, das von den Vereinten Nationen im Jahr 2003 zum ersten Mal veröffentlicht wurde. Seitdem erhält es alle 2 Jahre ein Update. Das GHS will nicht nur im Gefahrstoffbereich eine weltweite Harmonisierung bei der Einstufung und Kennzeichnung herbeiführen, sondern strebt bei einigen Gefahrenklassen auch einen Angleich an die Transportvorschriften an. Deshalb tauschen sich bei der UN Gefahrstoff- und Gefahrgut-Teams untereinander aus.
Das GHS ist ein Vereinheitlichungsangebot der UN, das Staaten entweder vollständig oder auszugsweise in ihr geltendes Recht übernehmen können. In der Europäischen Union wurden große Teile des GHS mit der EG-Verordnung 1272/2008, bekannt als CLP-Verordnung, übernommen und schrittweise in den Mitgliedsstaaten eingeführt.
Das System beinhaltet die Einstufung von Chemikalien in Gefahrenklassen. Für eine Unterteilung innerhalb der Klassen gibt es Gefahrenkategorien, denen eine englische Kodierung zugeordnet ist. Zur Kennzeichnung der gefährlichen Stoffe und Gemische stehen kodierte Piktogramme, die Signalwörter „Achtung“ und „Gefahr“ sowie kodierte Gefahrenhinweise zur Verfügung.
Dazu ein Praxisbeispiel. Ethanol ist auf Grund seines Flammpunkts der Gefahrenklasse „Entzündbare Flüssigkeiten“ zugeordnet. Die Gefahrenkategorie ist „Kategorie 2“ und die zugehörige Kodierung lautet „Flammable Liq. 2“. Zusätzlich erfüllt Ethanol die Kriterien der Gefahrenklasse „Schwere Augenschädigung/Augenreizung“, Gefahrenkategorie „Kategorie 2“ mit der Kodierung „Eye Irrit. 2“. Mit diesen Einstufungen ist der Alkohol mit den Gefahrenpiktogrammen GHS02
und GHS07
zu kennzeichnen. Das zugehörige Signalwort lautet Gefahr. Als Gefahrenhinweise dienen die Sätze H225 (Flüssigkeit und Dampf leicht entzündbar) und H319 (Verursacht schwere Augenreizung).
Das zugehörige Gefahrstoffetikett könnte dann wie folgt aussehen:

Gemäß CLP-Verordnung muss es folgende Kennzeichnungselemente enthalten:
- das Signalwort (Gefahr)
- den Produktidentifikator (Ethanol)
- die Gefahrenpiktogramme (Flamme und Ausrufezeichen)
- die jeweiligen H-Sätze/Gefahrenhinweise (H225 und H319)
- die adäquaten P-Sätze/Sicherheitshinweise (P210, P233, P305+P351+P338)
Zusätzlich fordert die Verordnung noch weitere Angaben wie Name, Anschrift und Telefonnummer des bzw. der Lieferanten; die Nennmenge des Stoffes oder Gemisches in der Verpackung, die der breiten Öffentlichkeit zugänglich gemacht wird, sofern diese Menge nicht auf der Verpackung anderweitig angegeben ist; und gegebenenfalls einen Abschnitt für ergänzende Informationen gemäß Artikel 25. ⇑
2. Überblick über die Gefahrenklassen
Die Informationen für diese Gefahrenkommunikation findet man in den Artikeln 17 ff. und in Anhang I der CLP-Verordnung. Dort werden die Gefahrenklassen in drei Bereiche unterteilt, in die physikalischen Gefahren, die Gesundheitsgefahren und die Umweltgefahren. Die Einstufung erfolgt anhand der benannten Kriterien.
Zu den Physikalischen Gefahren gibt es im zweiten Teil des Anhang I mittlerweile die folgenden 17 Einträge:
- 2.1. Explosive Stoffe/Gemische und Erzeugnisse mit Explosivstoff
- 2.2. Entzündbare Gase (einschließlich chemisch instabiler Gase)
- 2.3. Aerosole
- 2.4. Oxidierende Gase
- 2.5. Gase unter Druck
- 2.6. Entzündbare Flüssigkeiten
- 2.7. Entzündbare Feststoffe
- 2.8. Selbstzersetzliche Stoffe und Gemische
- 2.9. Pyrophore Flüssigkeiten
- 2.10. Pyrophore Feststoffe
- 2.11. Selbsterhitzungsfähige Stoffe und Gemische
- 2.12. Stoffe und Gemische, die in Berührung mit Wasser entzündbare Gase entwickeln
- 2.13. Oxidierende Flüssigkeiten
- 2.14. Oxidierende Feststoffe
- 2.15. Organische Peroxide
- 2.16. Korrosiv gegenüber Metallen
- 2.17. Desensibilisierte explosive Stoffe/Gemische
Die radioaktiven Stoffe und Gemische fehlen hier, weil sie nicht dem Reglement der CLP-Verordnung unterliegen. Die Gefahrenhinweise für die physikalischen Gefahren beginnen mit dem Buchstaben H, gefolgt von der Ziffer 2 und zwei weiteren Ziffern: H2xx.
Die Gesundheitsgefahren sind im dritten Teil in 11 Klassen aufgeschlüsselt:
- 3.1 Akute Toxizität
- 3.2 Ätzwirkung auf die Haut/Hautreizung
- 3.3 Schwere Augenschädigung/Augenreizung
- 3.4 Sensibilisierung der Haut oder der Atemwege
- 3.5 Keimzellmutagenität
- 3.6 Karzinogenität
- 3.7 Reproduktionstoxizität
- 3.8 Spezifische Zielorgan-Toxizität (einmalige Exposition)
- 3.9 Spezifische Zielorgan-Toxizität (wiederholte Exposition)
- 3.10 Aspirationsgefahr
- 3.11 Endokrine Disruption mit Wirkung auf die menschliche Gesundheit
Hier beginnen die zugehörigen Gefahrenhinweise mit dem Buchstaben H, gefolgt von der Ziffer 3 und zwei weiteren Ziffern: H3xx
Die Umweltgefahren des vierten Teils umfassen die Klassen
- 4.1 Gewässergefährdend
- 4.2 Endokrine Disruption mit Wirkung auf die Umwelt
- 4.3 Persistente, bioakkumulierbare und toxische Eigenschaften oder sehr persistente und sehr bioakkumulierbare Eigenschaften
- 4.4 Persistente, mobile und toxische Eigenschaften oder sehr persistente, sehr mobile Eigenschaften.
Auch für diese Gefahrenklassen beginnen die jeweiligen Gefahrenhinweise mit dem Buchstaben H, diesmal gefolgt von der Ziffer 4 und zwei weiteren Ziffern: H4xx.
Zusätzlich hat die EU im fünften Teil als weitere Umweltgefahr die Klasse
- 5.1 Die Ozonschicht schädigend
definiert. Da es sich bei dieser Klasse um eine europäische Definition handelt, die im UN-System nicht vorgesehen ist, ist der europäische Gefahrenhinweis EUH059 (Die Ozonschicht schädigend) zugeordnet. ⇑
3. Gefahrenpiktogramme und Signalwörter
Zur Warnung des Anwenders stehen neun symbolische Darstellungen in Form von Gefahrenpiktogrammen für die Gefahrenkommunikation zur Verfügung.
1. GHS01 – Explodierende Bombe
Dieses Piktogramm warnt vor Explosionsgefahr und wird für die Kennzeichnung von
- instabilen explosiven Stoffen und Gemischen, explosiven Stoffen, Gemischen und Erzeugnissen mit Explosivstoff der Unterklassen 1.1, 1.2, 1.3, 1.4 (Abschnitt 2.1),
- selbstzersetzlichen Stoffen und Gemischen der Typen A, B (Abschnitt 2.8) sowie
- organischen Peroxiden der Typen A, B (Abschnitt 2.15)
verwendet.
2. GHS02 – Flamme
Das Flammensymbol warnt vor Entzündungs- oder Selbstentzündungsgefahr. Es wird für zahlreiche Gefahrenkategorien eingesetzt:
- entzündbare Gase der Gefahrenkategorien 1A, 1B (Abschnitt 2.2),
- Aerosole der Gefahrenkategorien 1, 2 (Abschnitt 2.3),
- entzündbare Flüssigkeiten der Gefahrenkategorien 1, 2, 3 (Abschnitt 2.6),
- entzündbare Feststoffe der Gefahrenkategorien 1, 2 (Abschnitt 2.7),
- selbstzersetzliche Stoffe und Gemische der Typen B, C, D, E, F (Abschnitt 2.8),
- pyrophore Flüssigkeiten der Gefahrenkategorie 1 (Abschnitt 2.9),
- pyrophore Feststoffe der Gefahrenkategorie 1 (Abschnitt 2.10),
- selbsterhitzungsfähige Stoffe und Gemische der Gefahrenkategorien 1, 2 (Abschnitt 2.11),
- Stoffe und Gemische, die in Berührung mit Wasser entzündbare Gase entwickeln der Gefahrenkategorien 1, 2, 3 (Abschnitt 2.12),
- organische Peroxide der Typen B, C, D, E, F (Abschnitt 2.15) und
- desensibilisierte explosive Stoffe und Gemische der Gefahrenkategorien 1, 2, 3, 4 (Abschnitt 2.17).
3. GHS03 – Flamme über einem Kreis 
Hinter diesem Symbol stehen die Gefahren Brandverstärkung oder Brandauslösung. Man findet es bei
- oxidierenden Gasen der Gefahrenkategorie 1 (Abschnitt 2.4),
- oxidierenden Flüssigkeiten der Gefahrenkategorien 1, 2, 3 (Abschnitt 2.13) und
- oxidierenden Feststoffen der Gefahrenkategorien 1, 2, 3 (Abschnitt 2.14).
4. GHS04 – Gasflasche 
Die Gasflasche warnt vor Berstgefahr oder der Gefahr von Kälteverletzungen. Sie kennzeichnet Gase, die unter Druck verpackt sind:
- verdichtete Gase, verflüssigte Gase, tiefgekühlt verflüssigte Gase oder gelöste Gase (Abschnitt 2.5).
5. GHS05 – Ätzwirkung 
Das Ätzsymbol warnt vor der Zerstörung von Metallen (physikalische Gefahren) oder vor der Zerstörung von Gewebe (Gesundheitsgefahren). Es geht mit den folgenden Warnungen einher:
- korrosiv gegenüber Metallen, Gefahrenkategorie 1 (Abschnitt 2.16) oder
- hautätzend der Gefahrenkategorien 1, 1A, 1B, 1C (Abschnitt 3.2) bzw.
- schwere Augenschädigung der Gefahrenkategorie 1 (Abschnitt 3.3).
6. GHS06 – Totenkopf mit gekreuzten Knochen 
Der Totenkopf warnt vor Vergiftung. Hier geht es immer um
- akute Toxizität (oral, dermal, inhalativ) der Gefahrenkategorien 1, 2, 3 (Abschnitt 3.1).
7. GHS07 – Ausrufezeichen 
Das Ausrufezeichen kommt bei Reizwirkung, Gesundheitsschäden oder Schädigung der Ozonschicht zum Einsatz:
- akute Toxizität (oral, dermal, inhalativ) der Gefahrenkategorie 4 (Abschnitt 3.1),
- Reizwirkung auf die Haut der Gefahrenkategorie 2 (Abschnitt 3.2),
- Augenreizung der Gefahrenkategorie 2 (Abschnitt 3.3),
- Sensibilisierung der Haut der Gefahrenkategorien 1, 1A, 1B (Abschnitt 3.4),
- spezifische Zielorgan-Toxizität (einmalige Exposition) der Gefahrenkategorie 3 - Atemwegsreizung und narkotisierende Wirkungen (Abschnitt 3.8) und
- die Ozonschicht schädigend, Gefahrenkategorie 1 (Abschnitt 5).
8. GHS08 – Gesundheitsgefahr 
Dieses Symbol warnt vor sehr schweren Gesundheitsschäden:
- Sensibilisierung der Atemwege der Gefahrenkategorien 1, 1A, 1B (Abschnitt 3.4),
- Keimzellmutagenität der Gefahrenkategorien 1A, 1B, 2 (Abschnitt 3.5),
- Karzinogenität der Gefahrenkategorien 1A, 1B, 2 (Abschnitt 3.6),
- Reproduktionstoxizität der Gefahrenkategorien 1A, 1B, 2 (Abschnitt 3.7),
- spezifische Zielorgan-Toxizität (einmalige Exposition) der Gefahrenkategorien 1, 2 (Abschnitt 3.8),
- spezifische Zielorgan-Toxizität (wiederholte Exposition) der Gefahrenkategorien 1, 2 (Abschnitt 3.9) und
- Aspirationsgefahr der Gefahrenkategorie 1 (Abschnitt 3.10).
9. GHS09 – Umwelt 
Bei diesem Symbol geht es um die Vergiftung von Wasserorganismen oder um langfristige Schäden im Ökosystem:
- akut gewässergefährdend der Kategorie Akut 1, langfristig gewässergefährdend der Kategorien Chronisch 1, Chronisch 2 (Abschnitt 4.1).
Damit ein Etikett nicht zu viele Symbole trägt und dadurch eher verwirrt als informiert, gibt es in Artikel 26 der CLP-Verordnung eine Rangfolgeregelung, die zum Beispiel besagt, dass bei einer verpflichtenden Kennzeichnung mit dem Gefahrenpiktogramm „GHS01“ die Verwendung der Gefahrenpiktogramme „GHS02“ und „GHS03“ mit Ausnahme der Fälle, in denen mehr als eines dieser Gefahrenpiktogramme verbindlich ist, fakultativ ist oder dass bei einer verpflichtenden Kennzeichnung mit dem Gefahrenpiktogramm „GHS05“ das Gefahrenpiktogramm „GHS07“ für Haut- oder Augenreizung nicht erscheint.
Und schließlich gibt es noch zwei Signalwörter, die auf die Wichtung der potenziellen Gefährdung abzielen. Das Signalwort „Achtung“ steht für eine geringere Gefahr und das Signalwort „Gefahr“ weist auf eine gravierendere Gefahrenquelle hin. ⇑
4. Gefahrenhinweise und Sicherheitshinweise
Die Gefahrenkommunikation wird durch die Texte der Gefahrenhinweise und der Sicherheitshinweise abgerundet. Wie bereits erläutert, verläuft der Aufbau der Gefahrenhinweise bei den physikalischen Gefahren nach dem Schema H2xx, bei den Gesundheitsgefahren nach dem Schema H3xx und bei den Umweltgefahren nach dem Schema H4xx. Das entspricht den Vorgaben des UN-GHS. Zusätzlich gibt es noch die so genannten europäischen Ergänzungssätze, die mit EuHxxx gekennzeichnet sind. Sie stellen sinnvolle Ergänzungen dar und warnen vor Gefahren, die im UN-System nicht benannt sind. Der EUH070 bedeutet zum Beispiel "Giftig bei Berührung mit den Augen" und der EUH014 "Reagiert heftig mit Wasser".
Die Gefahrenhinweise (Hazard Statements) werden durch die Sicherheitshinweise (Precautionary Statements) ergänzt. Ihre Kodierung beginnt mit dem Buchstaben P, dem 3 Ziffern nachgestellt sind. Sätze, die mit P1xx kodiert sind, geben allgemeine Hinweise, zum Beispiel "Darf nicht in die Hände von Kindern gelangen". Um Vorbeugungsmaßnahmen geht es bei der Kodierung P2xx. Eine dritte Gruppe gibt Verhaltenshinweise zur Reaktion auf Unfälle, eine vierte Gruppe nennt Hinweise zur sicheren Lagerung und eine fünfte Gruppe gibt Hinweise zur sicheren Entsorgung. ⇑
5. Die physikalischen Gefahrenklassen
Stoffe und Gemische werden Prüfungen unterzogen und anhand der Prüfergebnisse in Gefahrenklassen und Gefahrenkategorien eingeteilt. Die CLP-Verordnung listet die physikalischen Gefahrenklassen in Abschnitt 2 des ersten Anhangs auf, beginnend mit den Explosivstoffen.
5.1 Explosive Stoffe/Gemische und Erzeugnisse mit Explosivstoff
Laut CLP-Verordnung umfasst diese Klasse explosive Stoffe, explosive Gemische und Erzeugnisse mit Explosivstoff,
- die massenexplosionsgefährlich sind oder
- von denen Gefahren durch Splitter, Spreng- und Wurfstücke ausgehen,
- die Feuer, Rauch, Wärme oder starken Schall entfalten können oder
- die zum Erzeugen einer Explosion oder eines pyrotechnischen Effekts hergestellt werden.
Einstufungskriterien sind Explosionsfähigkeit, Empfindlichkeit in der Handhabung und thermische Stabilität. Die Verordnung kennt sieben Gefahrenkategorien, die wie in der Tabelle dargestellt gekennzeichnet werden.

Beispiele für die Kategorie der instabilen, explosiven Chemikalien sind Nitroglycerin und Dynamit (Nitroglycerin mit Phlegmatisierungsmittel bis max. 40%) mit dem zugehörigen Gefahrenhinweis H200. Schwarzpulver, TNT und Hydroxylammoniumnitrat sind Vertreter der Unterklasse 1.1 mit dem Gefahrenhinweis H201.
5.2 Entzündbare Gase (einschließlich chemisch instabiler Gase)
Die CLP-Verordnung unterscheidet in dieser Gefahrenklasse zwischen zwei Kategorien.
In die Kategorie 1 fallen Gase, die bei 20° C und einem Standarddruck von 101,3 kPa eine untere Explosionsgrenze von kleiner gleich 13 % haben oder deren Explosionsbereich (obere Explosionsgrenze minus untere Explosionsgrenze) mindestens 12 Prozentpunkte ausmacht. Des Weiteren umfasst diese Kategorie Gase mit besonderem Reaktionsverhalten:
- Kann sich ein Gas in Luft bei einer Temperatur von kleiner gleich 54 °C spontan entzünden, dann bezeichnet man es als selbstentzündliches oder pyrophores Gas.
- Ein chemisch instabiles Gas hingegen kann auch ohne Luft oder Sauerstoff explosionsartig reagieren.
In die Kategorie 2 werden die übrigen Gase eingestuft, die in Abmischung mit Luft bei 20° C und einem Standarddruck von 101,3 kPa einen Explosionsbereich haben.
Einstufungskriterien sind die Entzündbarkeit und der Explosionsbereich in Abmischung mit Luft. Ein entzündbares Gas wird … in die Kategorie 1A, 1B oder 2 eingestuft. Entzündbare Gase, die selbstentzündlich (pyrophor) und/oder chemisch instabil sind, werden stets in die Kategorie 1A eingestuft.
heißt es in der Verordnung.
Dementsprechend gibt es vier Einträge zur Gefahrenkategorie 1A und jeweils einen Eintrag zu den Kategorien 1B und 2.

Acetylen und Ethylenoxid sind Beispiele für die Kategorie 1A Chemisch instabiles Gas A mit den Gefahrenhinweisen H220 und H230. Monosilan ist ein Vertreter der Kategorie 1A Selbstentzündliches (pyrophores) Gas. Hier weisen H220 und H232 auf die Gefahren hin.
5.3 Aerosole
Unter Aerosolen versteht die CLP-Verordnung alle nicht nachfüllbaren Behälter aus Metall, Glas oder Kunststoff, einschließlich des darin enthaltenen verdichteten, verflüssigten oder unter Druck gelösten Gases mit oder ohne Flüssigkeit, Paste oder Pulver, die mit einer Entnahmevorrichtung versehen sind, die es ermöglicht, ihren Inhalt in Form von in Gas suspendierten festen oder flüssigen Partikeln als Schaum, Paste, Pulver oder in flüssigem oder gasförmigem Zustand austreten zu lassen.
Einstufungskriterien sind der Anteil an entzündbaren Stoffen, die chemische Verbrennungswärme sowie bei Schaumaerosolen die Ergebnisse eines Schaumtests oder bei Sprühaerosolen die Ergebnisse eines Flammstrahl- und eines Fasstests. Die Einstufung erfolgt in drei Kategorien.

Es gibt in unserem Umfeld zahlreiche Beispiele für Aerosole. Parfümerieware kann genau so gut dazu gehören wie Schmiermittel in der Werkstatt, Insektenvernichtungsmittel oder andere Haushaltsaerosole.
5.4 Oxidierende Gase
In diese Klasse fallen Gase oder Gasgemische, die die Oxidation anderer Stoffe stärker fördern als Luft. Viele dieser Gase setzen Sauerstoff frei.
Das Einstufungskriterium ist die Oxidationskraft, die mehr als 23,5 % nach ISO 10156 betragen muss. Es gibt lediglich eine Einstufungskategorie.

Prominente Vertreter dieser Gefahrenklasse sind Sauerstoffgas, Chlorgas und Fluorgas.
5.5 Gase unter Druck
Darunter fallen Gase, die entweder unter Druck oder verflüssigt bzw. verflüssigt und tiefgekühlt abgefüllt sind. Auch gelöste Gase gehören dazu.
Einstufungskriterium ist der Aggregatzustand der verpackten Ware. Es wird zwischen vier Gefahrenkategorien unterschieden.

Beispiele sind Industriegase wie Helium oder Stickstoff.
5.6 Entzündbare Flüssigkeiten
Flüssigkeiten mit einem Flammpunkt von höchstens 60° C müssen in diese Gefahrenklasse eingestuft werden.
Das Einstufungskriterium Flammpunkt ist als die niedrigste Temperatur, bei der sich über einem Stoff ein zündfähiges Dampf-Luft-Gemisch bilden kann
definiert. Ein weiteres Einstufungskriterium ist der Siedebeginn. Die Einstufung erfolgt in drei Gefahrenkategorien:
- in Kategorie 1, wenn der Flammpunkt unter 23° C und der Siedebeginn bei kleiner / gleich 35° C liegt,
- in Kategorie 2, wenn der Flammpunkt unter 23° C und der Siedebeginn über 35° C liegt und
- in Kategorie 3, wenn der Flammpunkt im Bereich 23° C bis 60° C liegt.

Beispiele sind Diethylether mit dem H-Satz 224, Ethanol mit dem H-Satz 225 und Butanol mit dem H-Satz 226.
5.7 Entzündbare Feststoffe
Entzündbare Feststoffe sind dadurch charakterisiert, dass sie entweder leicht brennbar sind oder dass bei ihnen durch Reibung Brand ausgelöst oder gefördert werden kann. Als leicht brennbar sind die Stoffe oder Gemische dann anzusehen, wenn sie zum Beispiel mit einem brennenden Streichholz leicht entzündet werden können und die Flammen sich in einer bestimmten Zeit bzw. mit einer definierten Geschwindigkeit ausbreiten. Einstufungskriterien sind Abbrandgeschwindigkeit und Abbrandzeit.
Für die Einstufung in Kategorie 1 müssen folgende Bedingungen erfüllt sein. Wenn es sich nicht um Metallpulver handelt, darf eine befeuchtete Zone den Brand nicht aufhalten und die Abbrandzeit muss weniger als 45 Sekunden oder die Abbrandgeschwindigkeit muss mehr als 2,2 mm/s betragen. Handelt es sich um ein Metallpulver, dann darf die Abbrandzeit höchstens 5 Minuten betragen.
Eine Einstufung in Kategorie 2 erfolgt bei Metallpulvern, wenn die Abbrandzeit zwischen 5 und höchstens 10 Minuten liegt. Für alle anderen Stoffe gilt, dass eine befeuchtete Zone den Brand für mindestens 4 Minuten aufhält und die Abbrandzeit unter 45 Sekunden oder die Abbrandgeschwindigkeit über 2,2 mm/s beträgt.

In beiden Kategorien kommen Metallpulver vor. Roter Phosphor ist ein nichtmetallischer Vertreter der Kategorie 2.
5.8 Selbstzersetzliche Stoffe und Gemische
Selbstzersetzliche Stoffe oder Gemische sind thermisch instabil. Sie können sich auch ohne Beteiligung von Sauerstoff (Luft) stark exotherm zersetzen. Prinzipiell kommen für diese Einstufung alle selbstzersetzlichen festen und flüssigen Stoffe oder Gemische als potenzielle Kandidaten infrage, es sei denn, sie wurden bereits als explosive Stoffe/Gemische, als organische Peroxide oder als oxidierend eingestuft.
Einstufungskriterien sind unter anderem das Detonationsvermögen, explosive Eigenschaften und das Deflagrationsverhalten (Verpuffung). Die Gefahrenkategorien umfassen die Typen A bis G.

Mitglieder dieser Gefahrenklasse sind Hydrazintrinitromethan mit dem H-Satz 240 und 3-Acidosulfonylbenzoesäure mit dem H-Satz 241.
5.9 Pyrophore Flüssigkeiten
Diese Stoffe haben die Tendenz, sich bereits in geringen Mengen bei Luftkontakt innerhalb kurzer Zeit zu entzünden.
Einstufungskriterien sind die Selbstentzündung in Berührung mit Luft innerhalb von 5 Minuten oder die Entzündung / Verkohlung eines Filterpapiers innerhalb von 5 Minuten. Es gibt nur eine Gefahrenkategorie.

Trisilan, Tetrasilan, flüssige Trialkylborane und einige Magnesiumalkyle gehören in diese Gefahrenklasse.
5.10 Pyrophore Feststoffe
Auch die pyrophoren Feststoffe entzünden sich bereits in geringen Mengen bei Luftkontakt.
Das Einstufungskriterium ist die Selbstentzündung in Berührung mit Luft innerhalb von 5 Minuten. Auch hier gibt es nur eine Gefahrenkategorie.

Beispiele sind feste Trialkylborane, Magnesiumpulver und weißer Phosphor.
5.11 Selbsterhitzungsfähige Stoffe und Gemische
In Abgrenzung zu den pyrophoren Flüssigkeiten oder Feststoffen muss bei den selbsterhitzungsfähigen Stoffen und Gemischen eine deutlich größere Menge (mehrere Kilogramm) für eine Reaktion vorhanden sein. Zusätzlich dauert es deutlich länger (Stunden oder Tage), bis sie sich entzünden.
Einstufungskriterien sind der Temperaturanstieg oder die spontane Entzündung bei vorgegebenen Prüftemperaturen zwischen 100°C und 140°C in Abhängigkeit vom Volumen. Für die Einstufung stehen zwei Kategorien zur Verfügung.

Beispiele sind Natriumdithionit sowie Magnesium- und Zirkoniumpulver.
5.12 Stoffe und Gemische, die in Berührung mit Wasser entzündbare Gase entwickeln
Feste oder flüssige Stoffe bzw. Gemische, die sich bei Wasserkontakt spontan entzünden oder entzündbare Gase entwickeln, fallen in diese Rubrik.
Das Einstufungskriterium ist die Reaktionsgeschwindigkeit mit Wasser. Es wird zwischen drei Gefahrenkategorien unterschieden.

In die Kategorie 1 sind die Alkalimetalle Natrium und Kalium, Lithiumaluminiumhydrid und zahlreiche Phosphide eingestuft.
5.13 Oxidierende Flüssigkeiten
Diese Produktgruppe kann im Allgemeinen durch Sauerstoffübertragung einen Brand bei anderen Materialien verursachen oder fördern.
Das Einstufungskriterium ist das Reaktionsverhalten in Abmischung mit Cellulose. Die Klassifizierung erfolgt in drei Kategorien.

Salpetersäure und Wasserstoffperoxid gehören zu dieser Klasse der oxidierenden Flüssigkeiten.
5.14 Oxidierende Feststoffe
Die oxidierenden Feststoffe folgen dem gleichen Einstufungsschema wie die oxidierenden Flüssigkeiten.
Auch hier wird nach dem Reaktionsverhalten in Abmischung mit Cellulose kategorisiert und es stehen wiederum drei Kategorien für die Einstufung zur Verfügung.

Ein Vertreter der Kategorie 1 ist Natriumperoxid mit H271. Zur Kategorie 2 gehört Kaliumnitrit und zur Kategorie 3 Natriumnitrit.
5.15 Organische Peroxide
Die CLP-Verordnung definiert die Vertreter dieser Gefahrenklasse als flüssige oder feste organische Stoffe, die die bivalente Struktur -O-O- enthalten und als Wasserstoffperoxid-Derivate gelten können, bei denen eines der Wasserstoffatome oder beide durch organische Radikale ersetzt wurden. Der Begriff organische Peroxide umfasst auch Gemische (Formulierungen) mit mindestens einem organischen Peroxid. Organische Peroxide sind thermisch instabile Stoffe oder Gemische, die einer selbstbeschleunigenden exothermen Zersetzung unterliegen können. Ferner können sie eine oder mehrere der folgenden Eigenschaften aufweisen:
- Neigung zu explosiver Zersetzung,
- leichte Brenbarkeit,
- Schlag- oder Reibempfindlichkeit,
- gefährliche Reaktion mit anderen Stoffen.
Einstufungskriterien sind unter anderem das Detonationsvermögen, die explosiven Eigenschaften und das Deflagrationsverhalten (Verpuffung). Die Einstufung erfolgt in die Kategorien Typ A bis Typ G.

Das Desinfektionsmittel Peroxyessigsäure (Typ CD) und der Starter für Polymerisationsreaktionen Dibenzoylperoxid (Typ B) sind bekannte Vertreter dieser Gefahrenklasse.
5.16 Korrosiv gegenüber Metallen
Diese Produktgruppe kann Metalle beschädigen oder zerstören.
Einstufungskriterien sind die Korrosionsraten auf Stahl- oder Aluminiumoberflächen. Es gibt nur eine Gefahrenkategorie.

Zahlreiche Säuren und Laugen gehören in diese Klasse.
5.17 Desensibilisierte explosive Stoffe/Gemische
Ist ein explosiver Stoff ausreichend phlegmatisiert, dann wird er dieser Klasse zugeordnet.
Einstufungskriterien sind die thermische und mechanische Empfindlichkeit zur Überprüfung des Explosionsverhaltens sowie die Abbrandgeschwindigkeit. Es wird zwischen vier Gefahrenkategorien unterschieden.

Dinitrophenylhydrazin ist durch den Zusatz von mindestens 30% Wasser ausreichend genug phlegmatisiert, um hier eingeordnet zu werden. ⇑
6. Die Klassen der Gesundheitsgefahren
Die Gesundheitsgefahren beginnen in Teil 3 der CLP-Verordnung mit der Akuten Toxizität.
6.1 Akute Toxizität
Die CLP-Verordnung versteht unter akuter Toxizität schädliche Wirkungen, die auftreten, wenn ein Stoff oder Gemisch in einer Einzeldosis oder innerhalb von 24 Stunden in mehreren Dosen oral oder dermal verabreicht oder 4 Stunden lang eingeatmet wird.
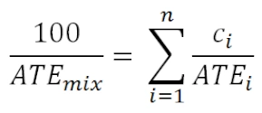
Einstufungskriterien sind die letale Dosis (LD 50) oder die letale Konzentration (LC 50) in mg Substrat pro kg Körpergewicht, bei der 50% der Versuchstiere innerhalb einer bestimmten Zeitspanne sterben. Bei oraler und dermaler Aufnahme spricht man von einem LD 50-Wert, bei inhalativer Aufnahme von einem LC 50–Wert. Zusätzlich hat die CLP-Verordnung noch den Schätzwert Akuter Toxizität (acute toxicity estimates, abgekürzt "ATE") ins Spiel gebracht. Ist ein LD 50–Wert oder ein LC50-Wert verfügbar, dann entspricht der Schätzwert genau diesem empirisch gewonnenen Zahlenwert. Ansonsten muss er geschätzt werden. Dafür gibt es in Tabelle 3.1.2 des Anhang 1 der CLP-Verordnung Umrechnungswerte der akuten Toxizität, die den verschiedenen Aufnahmewegen und Einstufungskategorien zugeordnet sind.
Der ATE-Wert eines Gemisches (ATEmix) kann nach der Formel
berechet werden. Darin bedeuten:
- ci - die Konzentration von Bestandteil i in Gewichtsprozent oder Volumenprozent;
- ATEi - den Schätzwert der akuten Toxizität von Bestandteil i;
- i - den einzelnen Bestandteil;
- n - die Anzahl der Bestandteile.
Je nach Aufnahmeweg (oral, dermal oder inhalativ) und Wirkmenge wird ein Stoff einer von vier Kategorien zugeordnet. Bei der Inhalation wird zusätzlich unterschieden, ob der Stoff als Gas, Dampf oder Staub bzw. Nebel vorliegt.

Die Einstufung erfolgt in vier Kategorien. Bei der Gefahrenkommunikation muss der für den Aufnahmeweg jeweils zutreffende H-Satz verwendet werden.

In die Kategorie 1 fallen hochtoxische Verbindungen wie Kaliumcyanid. In der Kategorie 2 findet man zum Beispiel Phosgen. Das Produkt einer unvollständigen Verbrennung, Kohlenstoffmonoxid, ist in die Kategorie 3 eingestuft und Trimethylborat ist ein Vertreter der Kategorie 4.
6.2 Ätz-/Reizwirkung auf die Haut
Die nächste Gefahrenklasse ist die Ätz-/Reizwirkung auf die Haut. Die CLP-Verordnung unterscheidet in dieser Gefahrenklasse zwischen zwei Kategorien.
In die Kategorie 1 fallen Stoffe und Gemische, die im Test bei ein bis drei von insgesamt 3 Tieren eine Ätzwirkung hinterlassen haben. Innerhalb dieser Kategorie wird nach Schweregrad binnendifferenziert. In die Kategorie 1A wird eingestuft, wenn nach maximal dreiminütiger Einwirkungszeit und einer Nachbeobachtungszeit von höchstens einer Stunde eine Ätzwirkung eintritt. Bei der Unterkategorie 1B liegt der Einwirkungszeitraum zwischen drei Minuten und einer Stunde sowie einer Nachbeobachtungszeit von höchstens 14 Tagen. Bei einer Einstufung in Unterkategorie 1C sind die Kriterien einer Einwirkungszeit zwischen einer und vier Stunden und einer Beobachtungszeit von bis zu 14 Tagen erfüllt.
In die Kategorie 2 werden Stoffe und Gemische mit schwächer geprägten Auswirkungen eingestuft.
Eine Ätzwirkung ist dann gegeben, wenn Hautgewebe nach einer Einwirkzeit von maximal vier Stunden deutlich sichtbar zerstört ist. Bei der Hautreizung werden Rötung, Schorfbildung, Ödeme oder Entzündungen bewertet.

Beispiele sind 95%ige Schwefelsäure für die Kategorie 1 A, konzentrierte Salzsäure (35-37%) für die Kategorie 1 B und Isopropylamin für Kategorie 2.
6.3 Schwere Augenschädigung/Augenreizung
Wie man der obigen Gefahrenauszeichnung entnehmen kann, geht eine Ätzwirkung an der Haut immer auch mit einer schweren Augenschädigung einher.
Unter schwerer Augenschädigung versteht die CLP-Verordnung das Erzeugen von Gewebeschäden im Auge oder eine schwerwiegende Verschlechterung des Sehvermögens nach Applikation eines Prüfstoffes auf die Oberfläche des Auges, die innerhalb von 21 Tagen nach Applikation nicht vollständig reversibel sind.
Als Augenreizung ist das Erzeugen von Veränderungen am Auge nach Applikation eines Prüfstoffes auf die Oberfläche des Auges, die innerhalb von 21 Tagen nach der Applikation vollständig reversibel sind
definiert.
Das Einstufungsverfahren berücksichtigt alle bislang zusammengetragenen Fakten, um unnötige Tierversuche zu vermeiden. Die Einstufung erfolgt in zwei Kategorien. Bei irreversiblen Wirkungen am Auge handelt es sich um einen Stoff oder ein Gemisch der Kategorie 1. Sind die Wirkungen reversibel, wird in Kategorie 2 eingestuft.

Die Kriterien für Kategorie 1 erfüllt der Alkohol n-Propanol. Die Chemikalie Natriumcarbonat ist ein Vertreter der Kategorie 2.
6.4 Sensibilisierung der Atemwege oder der Haut
Diese Gefahrenklasse beinhaltet Inhalationsallergene und Hautallergene. Für die Einstufung steht jeweils nur die Kategorie 1 zur Verfügung, die je nach Häufigkeit der allergenen Reaktion in die Unterkategorien 1A (allergieauslösend bei vielen Probanden) und 1B (allergieauslösend bei manchen Probanden) verzweigt.
Inhalationsallergene sind gemäß CLP-Verordnung in die Kategorie 1 einzustufen, wenn beim Menschen eine spezifische Überempfindlichkeit der Atemwege nachgewiesen wurde oder wenn Tierversuche zu positiven Ergebnissen führten. Bei Hautallergenen folgt die Einstufung in Kategorie 1 ähnlichen Kriterien.
Bei Gemischen muss in eine der Kategorien eingestuft werden, wenn ein sensibilisierender Stoff in einer Mindestkonzentration vorhanden ist, die je nach Aggregatzustand und Stoffeinstufung bei ≥ 1% bzw. ≥ 0,1% liegt.

Im Gegensatz dazu wird zur Klassifizierung der Hautsensibilisierung schwächer gewarnt. Hier kommen das Piktogramm „Ausrufezeichen“ und das Signalwort Achtung zum Einsatz.

Die Hexachloroplatinsäure ist atemwegs- und hautsensibilisierend und in beiden Klassen in die Kategorie 1 eingestuft: Resp. Sens. 1 und Skin Sens. 1.
6.5 Keimzellmutagenität
Stoffe sind keimzellmutagen, wenn sie eine dauerhafte Veränderung des Genmaterials verursachen oder verursachen können. Die Einstufung erfolgt auf der Grundlage von bereits vorhandenen Daten, von In vivo- und In vitro-Untersuchungen.
Bei einer Einstufung in die Kategorie 1 sind die Erkenntnisse gesichert. Stammen sie aus epidemiologischen Studien an Menschen, dann wird der Stoff der Kategorie 1A zugeordnet. Für eine Einstufung in Kategorie 1B werden Daten von In vivo-Prüfungen zugrunde gelegt. In die Kategorie 2 fallen Stoffe, die möglicherweise vererbbare Veränderungen in Keimzellen von Menschen auslösen können.
Bei Gemischen muss in eine der Kategorien eingestuft werden, wenn ein keimzellmutagener Stoff in einer Mindestkonzentration vorhanden ist, die je nach Stoffeinstufung bei ≥ 1% bzw. ≥ 0,1% liegt.

Beispiele für diese Gefahrenklasse sind Diethylsulfat und Chromtrioxid für die Kategorie 1B und Cadmiumsulfid für die Kategorie 2.
6.6 Karzinogenität
In die Klasse Karzinogenität fallen alle Stoffe und Gemische, die potenziell Krebs erzeugen oder die Krebshäufigkeit anheben können. Die Einstufung erfolgt nach der Datenlage. Sind Stoffe dafür bekannt, dass sie beim Menschen Krebs auslösen können, werden sie der Kategorie 1A zugeordnet. Kann aus epidemiologischen Studien, Tierversuchen oder anderen Beobachtungen abgeleitet werden, dass sie wahrscheinlich beim Menschen Krebs auslösen, sind sie Kandidaten für die Kategorie 1B. In der Kategorie 2 werden Verdachtskandidaten eingeordnet, bei denen die Nachweise für eine höhere Einstufung nicht ausreichen.
Bei Gemischen muss in eine der Kategorien eingestuft werden, wenn ein karzinogener Stoff in einer Mindestkonzentration vorhanden ist, die je nach Stoffeinstufung bei ≥ 1% bzw. ≥ 0,1% liegt.

Beispiele sind Asbest in der Kategorie 1A, das Pflanzenprodukt Safrol in der Kategorie 1B und Pentachlorphenol in der Kategorie 2.
6.7 Reproduktionstoxizität
Reproduktionstoxische Stoffe schränken die Sexualfunktion und Fruchtbarkeit bei Menschen ein und beeinträchtigen die Entwicklung der Nachkommen. Sie können negative Auswirkungen auf oder über die Laktation haben.
In die Kategorie 1A wird eingestuft, wenn ein Stoff bekanntermaßen beim Menschen reproduktionstoxisch wirkt. In die Kategorie 1B fallen Stoffe, von denen überwiegend aus Tierversuchen bekannt ist, dass sie die Reproduktion deutlich beeinträchtigen. In Kategorie 2 werden die Vermutungskandidaten untergebracht.
Zusätzlich gibt es eine Gefahrenkategorie für Wirkungen auf die Laktation. Hier findet man Stoffe, die nachweislich bei Mensch oder Tier über die Muttermilch weiter gegeben wurden und den Nachwuchs geschädigt haben.
Bei Gemischen muss in eine der Kategorien eingestuft werden, wenn ein reproduktionstoxischer Stoff in einer Mindestkonzentration vorhanden ist, die je nach Stoffeinstufung bei ≥ 3% bzw. ≥ 0,3% liegt.
Die Auswirkungen können auf die Fruchtbarkeit von Mann und Frau oder auf das Kind im Mutterleib beschränkt sein. Sie können auch für beide Szenarien zutreffen. Daher stehen mehrere H-Sätze zur Verfügung, aus denen je nach Datenlage der zutreffende verwendet wird. Innerhalb der H-Sätze wird durch Groß- und Kleinschreibung binnendifferenziert. Großbuchstaben werden in den Kategorien 1A und 1B eingesetzt, Kleinbuchstaben in der Kategorie 2.

Beispiele für den Einsatz von H360D sind das Pestizid Etacelasil und das Fungizid Flusilazol. Der Satz H360FD wird bei Kaliumdichromat und Cadmiumfluorid verwendet. Mit H361f wird auf die Gefahren von Octamethylcyclotetrasiloxan hingewiesen.
6.8 Spezifische Zielorgan-Toxizität (einmalige Exposition)
In diese Klasse fallen alle Stoffe, die bereits bei einmaligem Kontakt die menschliche Gesundheit beeinträchtigen können. Dabei ist es irrelevant, ob der Schaden reversibel oder irreversibel auftritt, ob er sofort oder mit zeitlicher Verzögerung zu erkennen ist. Die Einstufung erfolgt in drei Kategorien. Die erste Kategorie nimmt alle Kandidaten auf, die beim Menschen eindeutig toxisch wirken oder von denen aus Tierversuchen eine solche Wirkung abgeleitet werden kann. In die zweite Kategorie fallen die Stoffe, bei denen auf der Basis von Tierversuchen eine schädliche Wirkung auf den Menschen erwartet wird. Die dritte Kategorie nimmt Kandidaten auf, deren gesundheitsschädliche Wirkung reversibel ist.
Einstufungskriterien sind die unmittelbare oder verzögerte sowie die reversible oder irreversible Wirkung auf Menschen oder Versuchstiere. Bei Gemischen muss in eine der Kategorien eingestuft werden, wenn ein relevanter Stoff in einer Mindestkonzentration vorhanden ist, die je nach Stoffeinstufung bei ≥ 10% bzw. ≥ 1% liegt.

Vertreter dieser Gefahrenklasse sind in der Kategorie 1 das o, o ,o-Trikresylphosphat und das Insektizid Cyanophenphos, in der Kategorie 3 das Pflanzenschutzmittel Maneb und Calciumsulfid.
6.9 Spezifische Zielorgan-Toxizität (wiederholte Exposition)
Sind zwei oder mehr Kontakte mit einem Stoff erforderlich, bevor eine gesundheitsschädliche Wirkung eintritt, dann handelt es sich um Kandidaten für diese Gefahrenklasse, es sei denn, dass der Stoff bereits in eine der anderen Klassen mit Gesundheitsgefahren eingestuft wurde. In die Kategorie 1 kommen Stoffe mit toxischer Wirkung, in die Kategorie 2 Stoffe mit schädlicher Wirkung auf ein Zielorgan. Für die Unterscheidung zwischen den Begriffen toxisch und schädlich gibt es Richtwerte, zum Beispiel für den oralen LD50-Wert. Liegt der unterhalb von 10 mg/kg Körpergewicht und Tag, dann ist der Stoff ein Kategorie 1-Kandidat. Für Kategorie 2 reicht ein LD50-Wert zwischen 10 und 100 mg/kg/Tag.
Bei Gemischen muss in eine der Kategorien eingestuft werden, wenn ein relevanter Stoff in einer Mindestkonzentration vorhanden ist, die je nach Stoffeinstufung bei ≥ 10% bzw. ≥ 1% liegt.

Beispiele für die Kategorie 1 sind O-Ethylhydroxylamin und (4-Hydrazinophenyl)-N-methylmethansulfonamid, für die Kategorie 2 die Herbizide Diuron und Linuron.
6.10 Aspirationsgefahr
In der Klasse Aspirationsgefahr werden Stoffe betrachtet, die direkt über Mund und Nase oder indirekt durch Erbrechen in die Luftröhre eindringen können und schwere Gesundheitsstörungen hervorrufen.
Es gibt nur eine Einstufungskategorie, die erwiesenermaßen aspirationsgefährliche Stoffe aufnimmt sowie Kohlenwasserstoffe mit einer bei 40°C gemessenen kinematischen Viskosität von höchstens 20,5 mm²/s.
Bei Gemischen muss in die Kategorie 1 eingestuft werden, wenn ein oder mehrere relevante Stoffe in einer Gesamtkonzentration von mindestens 10% vorhanden sind und eine kinematische Viskosität von höchstens 20,5 mm²/s gemessen wird.

Aspirationsgefährlich sind unter anderem bestimmte Kohlenwasserstoffe, Terpentin und Pinienöl.
6.11 Endokrine Disruption mit Wirkung auf die menschliche Gesundheit
Die Gefahrenklasse Endokrine Disruption mit Wirkung auf die menschliche Gesundheit nimmt schädliche Veränderungen im Hormonsystem ins Visier. Aus diesen Veränderungen können Folgeerkrankungen wie Krebs, Diabetes oder Unfruchtbarkeit resultieren. Eingestuft wird in zwei Kategorien. Die Kategorie 1 nimmt die nachweislich schädlichen Substrate auf. In die Kategorie zwei kommen die Verdachtskandidaten.
Die Einstufung erfolgt überwiegend auf der Grundlage von In vivo-, In vitro- oder anderen Studien, auf Basis von analogen Daten zur Struktur-Wirkungs-Beziehung oder durch Übertragung von Daten chemisch verwandter Stoffe.
Bei Gemischen muss in die Kategorie 1 eingestuft werden, wenn ein oder mehrere endokrine Disruptoren der Kategorie 1 in einer Gesamtkonzentration von mindestens 0,1% vorhanden sind. Für eine Einstufung in die Kategorie 2 müssen ein oder mehrere Disruptoren der Kategorie 2 zu mindestens 1 % im Gemisch enthalten sein.

Beispiele sind einige Biozide, Pflanzenschutzmittel, Parabene und Phthalate. ⇑
7. Die Klassen der Umweltgefahren
Die Umweltgefahren beginnen in Teil 4 des Anhang 1 der CLP-Verordnung mit der Gewässergefährdung.
7.1 Gewässergefährdend
Ein Gewässer kann akut beim Eindringen von toxischen Chemikalien gefährdet sein. Diese Gefährdung klingt dann nach einiger Zeit im Zuge einer Konzentrationsabnahme des Stoffes ab. In dem Fall spricht man von akuter Gewässergefährdung. Bleibt die toxische Wirkung über einen längeren Zeitraum erhalten, handelt es sich um eine chronische Gewässergefährdung.
Eine Einstufung als akut gewässergefährdend der Kategorie 1 erfolgt ausschließlich an Hand von Daten über die akute aquatische Toxizität (EC50 oder LC50). Die EC- oder LC-Werte werden an Fischen, Krebstieren sowie Algen oder anderen Wasserpflanzen gewonnen: über einen Zeitraum von 96 Stunden bei Fischen mit dem Ergebnis eines LC50-Werts, über eine Dauer von 48 Stunden bei Schalentieren mit dem Resultat eines EC50-Werts und / oder innerhalb von 72 bzw. 96 Stunden bei Algen mit einem abschließenden EC50-Ergebnis.
Bei der langfristigen oder auch als chronisch bezeichneten Gewässergefährdung werden zusätzlich zu diesen LC- oder EC-Werten Abbaubarkeitsdaten und Bioakkumulationsdaten der Chemikalien berücksichtigt. Das Bioakkumulationspotenzial eines organischen Stoffes lässt sich vielfach über den Oktanol-Wasser-Verteilungskoeffizienten (logKOW) ermitteln. Alternativ oder ergänzend kann die Stoffverteilung zwischen Organismus und Wasser experimentell bestimmt werden. Das ergibt den sogenannten BCF-Wert (Biokonzentrationsfaktor, BCF = CStoff (Organismus) / CStoff (Wasser)). Beim Oktanol-Wasser-Koeffizienten liegt der Indizbereich für Bioakkumulation bei ≥ 4, beim BCF bei ≥ 500.
Für eine Einstufung in die Kategorie 1 bei den akuten und bei den chronischen Schäden reicht es aus, wenn einer der EC- oder LC-Messwerte für eine Population kleiner gleich 1 mg Substrat pro Liter beträgt. Für die chronische Gefährdung muss zusätzlich eine schlechte Abbaubarkeit und / oder ein Bioakkumulationspotenzial vorliegen.
Bei der akuten Gewässergefährdung gibt es nur die Einstufungskategorie Akut 1. Im Falle der chronischen Gewässergefährdung gibt es mehrere Kategorien. Für eine Einstufung in die Kategorie Chronisch 1 beträgt die toxische Wirkkonzentration ≤ 1 mg/l, bei der Kategorie Chronisch 2 liegt der Wert bei ≤ 10 mg/l und für die Kategorie Chronisch 3 ist er auf ≤ 100 mg/l angestiegen. Zur Sicherheit gibt es noch eine vierte Kategorie, die dann greift, wenn gleichzeitig folgende Kriterien erfüllt sind. Der Stoff weist eine Wasserlöslichkeit von ≤ 1 mg/l auf, er hat keine akute Toxizität im Bereich der Wasserlöslichkeit, ist langsam abbaubar und möglicherweise bioakkumulativ (Bioconcentration factor ≥ 500 oder logKOW ≥ 4).
Eine weitere Besonderheit in dieser Klasse sind die Multiplikationsfaktoren für hochtoxische Stoffe der Kategorien 1. Mit diesen Faktoren kann die Stoffkonzentration multipliziert werden, um dem erhöhten Risiko von hochtoxischen Verbindungen Rechnung zu tragen. In der Praxis wird durch diese Faktoren die Einstufungsskala für Gemische mit hochtoxischen Bestandteilen enorm erweitert.
Im Bereich der akuten Toxizität werden für die Faktoren die LC50-Werte bzw. EC50-Werte der toxischen Chemikalien zugrunde gelegt. Im Fall der chronischen Toxizität ist es der NOEC-Wert (No observed effect concentration), also die höchste Konzentration eines Stoffes, bei der noch keine schädliche / tödliche Auswirkung beobachtet wird. Zusätzlich wird bei der chronischen Toxizität noch zwischen nicht schnell abbaubaren und schnell abbaubaren Verbindungen unterschieden. Die Tabelle gibt eine Zusammenfassung der Einstufungsschritte wider.

Liegen Toxizitätsdaten zu den einzelnen Gemischbestandteilen vor, dann kann ähnlich wie bei der akuten Toxizität im Bereich der Gesundheitsgefahren gerechnet werden.

Beispiele für Stoffe der Akut 1 sind das Pflanzenschutzmittel Thiram und Cyanwasserstoff mit dem H-Satz H400. Zur Kategorie Chronisch 1 gehören das Pflanzenschutzmittel Linuron und einige Cyanide.
7.2 Endokrine Disruption mit Wirkung auf die Umwelt
Die folgenden drei Gefahrenklassen wurden genauso wie die Gefahrenklasse Endokrine Disruption mit Wirkung auf die menschliche Gesundheit mit der CLP-Verordnung 2023/707 eingeführt. Die Übergangsfristen für die Einstufung und Kennzeichnung von bekannten Stoffen laufen noch bis zum 01. November 2026, bei Gemischen bis zum 01. Mai 2028.
Die Stoffe dieser neuen Klassen geben Grund zu besonderer Besorgnis, weil sie irreversibel in das Hormonsystem von Mensch oder Tier eingreifen können, weil sie toxisch sein können und / oder sich in der Umwelt anreichern können. Manche Kandidaten sind bereits in der „Liste der besonders besorgniserregenden Stoffe“, auch „Kandidatenliste“ oder „SVHC-Liste“ genannt, aufgeführt.
Die endokrine Disruption mit Wirkung auf die Umwelt kann im Tierreich zu ähnlichen hormonellen Veränderungen wie beim Menschen führen. Für die Einstufung stehen zwei Kategorien zur Verfügung: Kategorie 1 für bekannte oder vermeintliche endokrine Disruptoren und Kategorie 2 für Verdachtsstoffe.
Bei Gemischen muss in die Kategorie 1 eingestuft werden, wenn ein oder mehrere endokrine Disruptoren der Kategorie 1 in einer Gesamtkonzentration von mindestens 0,1% vorhanden sind. Für eine Einstufung in die Kategorie 2 müssen ein oder mehrere Disruptoren der Kategorie 2 zu mindestens 1 % im Gemisch enthalten sein.

Vertreter dieser Klasse sind unter anderem 4-tert-Octylphenol, p-Isononylphenol und Dibutylphthalat.
7.3 Persistente, bioakkumulierbare und toxische Eigenschaften oder sehr persistente und sehr bioakkumulierbare Eigenschaften
Die Stoffe und Gemische dieser Gefahrenklasse sind schwer biologisch abbaubar (persistent), reichern sich in lebenden Organismen an (bioaccumulative) und sind giftig (toxic). Man spricht deswegen auch abgebürzt von PBT-Stoffen. In der gesteigerten Variante spricht man von sehr persistenten (very persistent) und sehr bioakkumulierbaren (very bioaccumulative) vPvB-Stoffen.
Die Einstufung erfolgt auf der Basis von einschlägigen Testergebnissen. Gemische müssen als PBT bzw. vPvB eingestuft werden, wenn sie einen oder mehrere eingestufte Bestandteile in einer Konzentration von mindestens 0,1 Gewichtsprozent enthalten.
Es gibt in dieser Gefahrenklasse und der folgenden keine explizite Kategoriebenennung, aber entsprechende Kodierungen. Analog zu den beiden Klassen der Endokrinen Disruption wird kein Gefahrenpiktogramm verwendet.

Beispiele sind Steinkohlenteer, Decabromdiphenylether und Perfluortridecansäure.
7.4 Persistente, mobile und toxische Eigenschaften oder sehr persistente und sehr mobile Eigenschaften
Die CLP-Verordnung definiert die Vertreter dieser Gefahrenklasse als persistent, mobil und toxisch (PMT) oder als sehr persistent und sehr mobil (vPvM). Es handelt sich dabei um Stoffe, die sich durch natürliche Filter wie Uferschlamm nicht aufhalten lassen und die in der Umwelt kaum oder gar nicht eliminiert werden. Als neues Kriterium ist hier die Mobilität ins Spiel gekommen. Ein Stoff erfüllt dieses Kriterium, wenn sein Verteilungskoeffizient log Koc (Wasser – Boden) unter 3 liegt. Für die Einstufung sehr mobil (vM), muss der log Koc kleiner als 2 sein.
Auch in dieser Gefahrenklasse erfolgt die Einstufung auf der Basis einschlägiger Testergebnisse. Gemische müssen als PMT bzw. vPvM eingestuft werden, wenn sie einen oder mehrere eingestufte Bestandteile in einer Konzentration von mindestens 0,1 Gewichtsprozent enthalten.

Beispiele sind Melamin, Trifluoressigsäure und Dioxan. Weitere Vertreter dieser Gefahrenklasse sind im UBA-Report „Prioritised PMT/vPvM substances in the REACH registration database“ aufgelistet.
7.5 Die Ozonschicht schädigend
Diese Produktgruppe kann erfahrungsgemäß die Struktur oder die Funktionsweise der stratosphärischen Ozonschicht negativ beeinflussen. Enthält ein Gemisch mindestens 0,1% eines solchen Stoffes, dann muss es ebenfalls in diese Gefahrenklasse eingestuft werden.

Bekannte Vertreter dieser Gefahrenklasse sind halogenierte Kohlenwasserstoffe wie Methylbromid, Tetrachlorkohlenstoff oder Dichlorfluorethan. ⇑
8. Einstufung von Gemischen
Gemische müssen vor ihrer Markteinführung immer selbst eingestuft werden. Einige Gefahrenklassen verlangen ausdrücklich Testergebnisse. Dann gibt es dazu keine Alternative. In anderen Klassen wiederum ist die Einstufung auf verschiedenen Wegen möglich. Dann stehen die drei Optionen Testergebnisse, Übertragungsgrundsätze und Betrachtung der Bestandteile zur Verfügung.
Liegen belastbare Testergebnisse für ein Gemisch vor, dann sind sie vorrangig zu verwenden. Ist das nicht der Fall, können gegebenenfalls Übertragungsgrundsätze angewendet werden, zum Beispiel, wenn es sich um die Verdünnung eines bereits eingestuften Gemischs handelt oder eine analoge Produktionscharge vorliegt. Gibt es keine derartigen Daten, dann erfolgt die Einstufung über die Bestandteile. Diese Einstufungsvariante ist in der CLP-Verordnung klar geregelt. Bei einigen Gefahrenklassen greift das Additivitätsprinzip, bei den meisten das Einzelstoffverfahren.
Beim Additivitätsprinzip wird jeder im Gemisch vorhandene Gefahrstoff proportional zu seiner Stärke und Konzentration für die Einstufung in einer Gefahrenklasse berücksichtigt. Beim Einzelstoffverfahren reicht es für eine Zwangseinstufung des Gemischs, wenn ein eingestufter Stoff eine vorgegebene Mindestkonzentration erreicht oder überschreitet. In der folgenden Tabelle sind die Gefahrenklassen nach Anwendbarkeit eines der beiden Verfahren sortiert.

Innerhalb einer Gefahrenklasse kann die Betrachtungsweise wechseln, zum Beispiel bei der Spezifischen Zielorgan-Toxizität mit einmaliger Exposition. In die ersten beiden Kategorien wird nach dem Einzelstoffverfahren eigestuft, in die dritte nach dem Additivitätsprinzip.
Und es gibt noch weitere Besonderheiten.
- Liegt der pH-Wert eines Gemischs bei ≤ 2 oder bei ≥ 11,5, dann wechselt das Summierungsverfahren zum Einzelstoffverfahren.
- Wenn die allgemeinen Konzentrationsgrenzwerte der Verordnung nicht passen, werden sie durch Spezifische Konzentrationsgrenzwerte (SCL) überschrieben. Die spezifischen Grenzwerte können größer oder kleiner sein als der allgemeine Grenzwert. Das kann zum Beispiel bei Säuren und Laugen oder reproduktionstoxischen Stoffen der Fall sein.
- Stoffe mit besonders hoher aquatischer Toxizität erhalten einen M-Faktor, der dieser Toxizität Rechnung trägt (siehe Kapitel 7.1).
- Die Schätzwerte akuter Toxizität (ATE) werden zur Einstufung der Gesundheitsgefahr von Gemischen benutzt. Der harmonisierte ATE-Wert entspricht dem gemessenen Toxizitäts-Wert (LD50-Wert). Liegt kein gemessener Toxizitätswert vor, dann werden die ATE-Werte auf Grundlage der jeweiligen Stoffeinstufung mittels der Tabelle 3.1.2 aus Anhang I, Teil 3.1 der CLP-Verordnung zugeordnet. Bei der Berechnung des ATEMix-Werts eines Gemischs werden Bestandteile mit unbekanntem Toxizitätswert ab einer Gesamtkonzentration von mehr als 10% nicht berücksichtigt. Die Berechnungsformel lautet dann:
und führt in der Regel zu restriktiveren Einstufungen. - Abschließend seien noch die Berücksichtigungsgrenzwerte tabellarisch aufgelistet, die in den unten aufgeführten Gefahrenklassen eine Rolle spielen.

Sie geben an, ab welcher Mindestkonzentration ein Stoff bei der Einstufung eines Gemisches berücksichtigt werden muss. ⇑